Skip to main content

Featured

Do Any Water Filters Remove Fluoride

Do Any Water Filters Remove Fluoride . Make sure to check your water filter for nsf certification against fluoride. However, a variation of activated carbon called a bone char filter can save the day. Do Vitapur Water Filters Remove Fluoride? Truth About Fluoride from truthaboutfluoride.com The powerful filter removes a whopping 230 known water contaminants! They do not remove fluoride or other chemicals from the water. With gravity’s help, these ceramic filters can drain out fluoride water, and 97% of fluoride is removed.

Is Ethene Soluble In Water


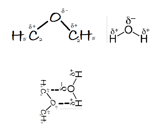
Is Ethene Soluble In Water. Ethane is a symmetrical molecule. Is ch3ch2ch3 soluble in water?

Which substance is most soluble in water? (A) ethane, CH3CH3
Which substance is most soluble in water? (A) ethane, CH3CH3 from www.clutchprep.com

You may have heard like dissolves like , since water is polar, it naturally tends to dissolve with other polar molecules. Alcohol molecules can hydrogen bond to each other and to water molecules. Beer is two to 12 percent alcohol with the remainder being primarily water.

This Explains Their Solubility In Water.


Is ethene gas soluble in water? Propane is basically insoluble in water, as it is a completely nonpolar molecule. The gas is made from ethanol vapor that is dehydrated by passing over a.

Alcohol Molecules Can Hydrogen Bond To Water Molecule So Alcohols Are Soluble In Water.


As a result water solubility of ethylene glycol is high. Ethene is non polar and water is polar in nature so ethene being a polar in nature is immiscible in water. Is ethene soluble in water?

Ethane Is Only Very Sparingly Soluble In Water.


Beer is two to 12 percent alcohol with the remainder being primarily water. Ethanol is more soluble in water because the hydroxyl group on the end of alcohol forms hydrogen bonds with water molecules,while ethane is hydrophobic and causes the solution to be highy ordered. Because they are non polar and water is polar…during this short lived polarity,the gas molecule is attracted by water molecule thereby causing solubility… is ethane soluble in water?

Ethylene Is Widely Used In The Chemical Industry, And Its Worldwide Production (Over 150 Million Tonnes In 2016) Exceeds That Of Any.


Which is more soluble in water ethanol or ethene? Why ethane is not soluble in water? Is ch3ch2ch3 soluble in water?

Which Is More Soluble In Water Ethanol Or Ethene?


The number of hydrogen bonds is higher, the hydrogen bonding strength is greater and the water solubility is also high. Spend some time reading about solubility, solutes, and solvents. Mutual solubility of water and hydrocarbons:


Comments

Popular Posts